세상을 널리 이롭게하라
김두관, 종부세 완화보다 집값 안정화가 우선 본문

공급면적 40㎡(12.1평) 이하 주택(이하 소형 주택) 열 개 중 네 개는 주택임대사업자가 소유하고 있었다. 국회 기획재정위원회 소속 김두관 의원(경남 양산을)이 국토교통부와 국세청에서 제출받은 자료를 분석한 결과 우리나라의 소형 주택은 236만 호로, 이 가운데 88만 호 이상을 주택임대사업자가 가지고 있었다. 88만 호는 236만 호의 37.3%에 이르는 규모다.
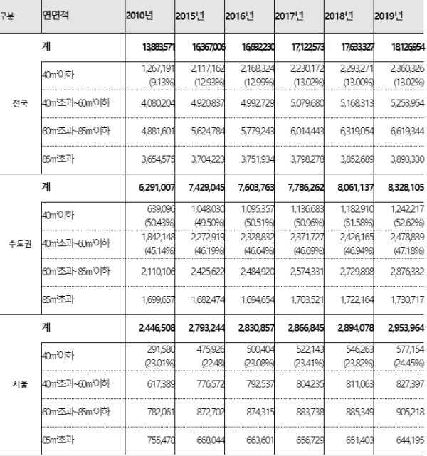
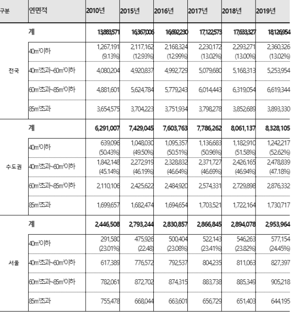
주택임대사업자 소유 비율이 커진 것은 소형 주택 공급이 모자랐기 때문은 아니었다. 소형 주택은 2010년에서 2019년까지 127만 호에서 236만 호로 두 배 가까이 늘었다. 같은 기간 수도권에 공급된 물량도 계속 늘어 전체 호수의 50%에 육박한 것으로 나타났다. 특히 서울에 공급된 비율은 23.01%에서 24.45%로 증가하여, 전국 평균보다 서울에 공급된 비중이 더 컸다.
소형 주택 물량 공급은 계속 늘어났지만, 주택임대사업자가 매입한 주택 수는 이보다 더 많았다. 소형 주택은 2018년 229만 3천 호에서 2019년 236만여 호로 6만 7천 호 증가했는데, 같은 기간 민간임대주택은 공급 물량보다 2만 2천 호 많은 약 8만 9천 호가 증가했다. 주택 공급량보다 주택임대사업자의 주택 매입이 더 많았던 것이다. 주택임대사업자가 소유한 소형 주택 소유량은 2018년 79만 1281호에서 2019년 88만 34호로 늘었으며, 작년 6월까지 96만 997호로 늘어, 해마다 상승폭이 커지고 있다는 사실도 밝혀졌다.
한편, 주택임대사업자의 소형 주택 소유 비중이 높아지면서 같은 면적의 아파트값도 폭등했다. 공항동의 32㎡ 아파트는 2020년 11월 2억 원에 팔렸지만 현재 3억 8천만 원에 호가되고 있으며, 북가좌동의 36㎡ 아파트는 2019년 2억 8천만 원에 매매됐지만 지금은 3억 7천만 원에 거래되고 있다. 그나마 주택임대사업자 소유로 인해 소형 주택 매물은 품귀현상까지 빚고 있다.
김 의원은 “주택임대사업자가 열 채 중 네 채를 소유한 소형 주택의 가격이 폭등하고 그나마 매매시장에 나오지 않는 상황에서, 실수요자들이 소형 주택 이상의 집을 찾을 수밖에 없는 상황이 아파트값 폭등의 중요한 원인 중 하나”라고 진단한 뒤, “임대주택에 대한 종부세 합산 배제 등 주택임대사업자에 대한 각종 세제 혜택을 유지하는 한, 주택임대사업자의 소형주택 ‘줍줍 현상’과 아파트값 폭등은 막을 수 없다”고 단언했다. 이어 김 의원은 “종부세 완화를 논의하기 전에 집값 안정화가 우선이며, 그 첫 번째 과제가 주택임대사업자 혜택을 손보는 것”이라고도 강조했다.
<등록 임대사업자 보유 임대주택 면적별 주택 수>

<주택규모별 주택 수 현황>

'세널리 정치 > 집중분석' 카테고리의 다른 글
| 김두관의원, '사단법인 전봉준' 이사장 추대 (0) | 2021.04.25 |
|---|---|
| 이재명 독주 견제할 민주당 후보는? (0) | 2021.04.23 |
| 김두관 의원 전북서 대선 행보 “국가균형발전 앞장” (0) | 2021.04.23 |
| 이재명-윤석열 양강 구도는 계속될까? (0) | 2021.04.17 |
| 김두관, “반성과 변화도 민주당이 하나일 때 가능” (0) | 2021.04.14 |